Любой бизнес-проект требует определенного объема капиталовложений, но далеко не все компании могут позволить себе реализовывать проекты только за счет собственных средств. В такой ситуации без привлечения вложений развитие бизнеса или реализация проекта будет проходить медленнее. К тому же, использовать только собственные средства – неправильно, поскольку при ведении финансово-хозяйственной деятельности важно соблюдать баланс между собственными и заемными денежными средствами (ДС). Возникает резонный вопрос, каким образом получить дополнительное финансирование?
Источниками привлечения внешних активов могут выступать заемные средства или инвестиции.
Инвестиционный капитал – преимущественный вариант, но их привлечение подразумевает обоснование эффективности планируемого проекта, то есть качественную оценку, которая смогла бы убедить потенциальных инвесторов вложиться в проект
Итак, оценка инвестпроекта позволяет спрогнозировать уровень его эффективности, то есть:
- определить рентабельность инвестиции;
- выяснить сроки окупаемости проекта;
- оценить риски проекта.
Наиболее показателен при его оценке – анализ прогнозируемых дополнительных денежных потоков, которые возникнут в результате привлечения инвестиций.
Виды денежных потоков
Денежные потоки – это движение любых форм денежных средств, наличных и безналичных, возникающих в процессе финансово-хозяйственной деятельности компании. Существует несколько классификаций денежных потоков предприятия в целом. В зависимости от вида деятельности, который обеспечивают денежные потоки, их можно разделить на:
- операционные (OCF) – основные виды операций, которые обеспечивают доход предприятию (например, оплата поставщикам, поступления от покупателей);
- финансовые (FCF) – виды финансовых операций, которые изменяются размер и состав заемных и собственных активов (например, перечисление дивидендов собственникам компании, получение кредитов и займов);
- инвестиционные (ICF) – виды операций, связанные с поступление ВНА (например, приобретение долговых бумаг, поступление дивидендов от долей участия в других организациях).
Оценка инвестиционного проекта производится в рамках всех трех направлений (операционного, финансового, инвестиционного) как инвестором (в рамках инвестиционной деятельности), так и со стороны реализующего инвестиционный проект.
Также выделяют два вида ДС по направлениям движения:
- входящие, обеспечивающие приток (поступление ДС);
- исходящие, создающие отток ДС (выбытие ДС).
Сопоставляя их на каждый момент времени, можно вывести сальдо денежных потоков компании. Прогнозирование движения ДС в таком разрезе позволит заранее предсказать возникновение кассовых разрывов, чтобы избежать форс-мажора.
Еще одна классификация денежных потоков предполагает разделение движения ДС на потоки по:
- компании в целом;
- отдельным ЦФО;
- проектам;
- подразделениям (как центрам затрат);
- по отдельным операциям.
Анализ в разрезе данных аналитик позволяет выявить потенциальные риски при управлении денежными потоками и своевременно принять меры по их предотвращению.
Порядок анализа инвестиционных денежных потоков
Такой анализ позволяет решить ряд задач:
- определение необходимых объемов поступления ДС;
- выявление направлений расходования ДС;
- выявление источников пополнения ДС;
- прогнозирование кассовых разрывов при выполнении инвестпроекта;
- оценка финансовой устойчивости и стабильности предстоящего проекта;
- спрогнозировать предполагаемую прибыль вложения.
Исходя из классификаций потоков ДС, основными разрезами их в рамках инвестпроекта являются:
- период и периодичность анализа;
- виды деятельности, обеспечивающие денежные потоки;
- направления движения денежных потоков;
- структурные подразделения или\и ЦФО.
Выделяют следующие основные показатели оценки денежных потоков инвестпроекта:
- величина поступления и выбытия ДС;
- входящее и исходящее сальдо ДС анализируемого периода;
- величина чистого денежного потока (ЧДП).
Оценка относительно этапов проекта
На протяжении исполнения проекта цели анализа немного меняются. Первоначально, при планировании проекта, основанная цель – оценка его возможной доходности и эффективности. После его запуска необходим постоянный мониторинг исполнения запланированных показателей и оценка отклонений от них, с целью корректировки инвестиционного процесса в рамках проекта. По итогам проекта производится контроль его исполнения и оценка чистых доходов.
Таким образом, можно определить основные этапы анализа денежных потоков инвестиционного проекта:
- планирование денежных потоков ИП и моделирование (прогнозирование) возможных вариантов его реализации;
- контроль исполнения (план-фактный анализ);
- оценка результатов.
Расчет денежных потоков: формула
При оценке инвестиционных денежных потоков ключевым показателем является ЧДП от денежных потоков инвестиционного проекта, общая величина всех потоков предприятия (как входящих, так и исходящих). Вычисляется по формуле:
ЧДПЭП = OCF + FCF + ICF
Другими словами, это разница между суммой всех поступлений ДС и суммой всех платежей за определенный промежуток времени. Это общая формула расчета любого этапа проекта, в конкретный период времени.
Оценка денежных потоков инвестпроекта проводится на всех пределах его реализации. Выделяют три этапа проекта:
- прединвестиционный (подготовительный, где определяют условия его реализации, рассчитывают его основные параметры и пр.);
- инвестиционную (реализация программы проекта);
- эксплуатационная (период, начала использования результатов проекта, с целью получения доходов).
Согласно трем этапам исполнения проекта весь денежный поток проекта можно условно разделить на три части:
- Чистые инвестиции (ЧИ) – исходные вложения в проект;
- Чистый операционный денежный поток (ЧОДП) – денежный поток от предполагаемой деятельности;
- Чистый завершающий денежный поток (ЧЗДП) – денежный поток, возникающий на основании результатов завершения проекта.
Таким образом, чистый денежный поток всего проекта можно вычислить как сумму денежных потоков всех этапов проекта. Причем при данном виде анализа во внимание принимают только изменение величины показателей (их приращение или уменьшение ∆). В данном случае формула чистого денежного потока инвестпроекта следующая:
ЧДПип=∆ЧИ+∆ЧОДП+∆ЧЗДП
Причем каждый элемент формулы равен ЧДП этапа проекта ЧДПЭП 1,2,3.
Для запуска инвестпроекта необходимы первоначальные вложения – либо денежные, либо материальные, что по сути и является инвестициями проекта.
Чистые инвестиции (ЧИ) представлены капитальными вложениями за исключением амортизации. Капитальные вложения могут включать в себя внеобортные (например, вложения в основные средства – ВНА) и оборотные (например, вложения в ТМЦ, запасы, сырье – ОА) активы. Таким образом, ЧИ можно вычислить как сумму изменений величины ВНА, ОА и налоговые (инвестиционные) льготы – (НЛ).
∆ЧИ=∆ВНА+∆ОА+∆НЛ
При исполнении проекта, когда вложения постепенно начинают работать, денежные потоки смещаются в область операционных. Поступления и платежи текущих потоков связаны с обеспечением операционной деятельности компании. Изменение операционных денежных потоков вычисляется как потоки ДС от:
- реализации товаров, работ и услуг (∆Р) по текущей деятельности;
- изменение величины переменных затрат (∆ЗТпр);
- изменение величины постоянных затрат (∆ЗТпс);
- платежей по налоговым обязательствам (НО);
- изменение величины амортизации (∆ИЗ).
В данном случае величина чистого операционного денежного потока будет выражаться:
∆ЧОДП=∆Р-∆ЗТпр-∆ЗТпс-НО+∆ИЗ
На заключительном этапе инвестпроекта часто происходит высвобождение ДС, например, при продаже лишнего оборудования или поступлении неиспользованных оборотных активов. Чистый завершающий денежный поток будет равен стоимости проданных активов (АК) за минусом налоговых обязательств:
∆ЧЗДП = ∆АК-∆НО
Прямой и косвенный метод расчета
Расчет эффективности денежного потока может быть осуществлен двумя методами – прямым или косвенным. Основное различие данных методов заключается только в принципах анализа денежных потоков от операционной деятельности.
Подберем оптимальное решение для автоматизации денежного потока инвестиционных проектовПри косвенном методе расчет начинается с определения чистой прибыли за анализируемый период, которая корректируется на возможные изменения ее величины, связанные с движением активов и обязательств. Анализ денежных потоков прямым методом предполагает учет всех поступлений и выплат ДС в рамках текущей деятельности компании.
Дисконтирование денежных потоков на проекте
Поскольку инвестпроекты обычно достаточно длительны по времени реализации (несколько лет), они подвержены инфляции. Денежные потоки также подвержены обесцениванию, поэтому для более точной оценки денежных потоков на проекте с поправкой на временной фактор используют ставку дисконтирования (норму прибыли). Ставка определяется как норма пересчета будущих денежных потоков (входящих и исходящих) в единую величину текущей стоимости.
Для оценки эффективности денежного потока инвестпроекта с учетом дисконтирования использую следующие показатели:
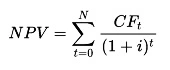
Чистая приведенная стоимость (ЧПС) – это общий объем дисконтированных значений потока платежей в пересчете относительно данных на сегодняшний день. Данный показатель показывает объем ДС инвестора, после преодоления порога окупаемости ИП.
Величина ЧПС вычисляется по формуле:
Где:
- CF – объем чистого денежного потока за период времени;
- t – период времени, денежного потока ИП;
- N – количество периодов расчета ИП;
- i – ставка дисконтирования, за расчетный период.
Период окупаемости проекта (РВР) вычисляется как отношение первоначальной суммы инвестиций к объему ежегодных поступлений. Позволяет рассчитать минимальное количество периодов, которое понадобится, чтобы вложения окупились.
Внутренняя норма доходности (IRR), отражающая ставку процента, при которой инвестор сможет окупить свои первоначальные вложения, или иначе – при которой, приведенная стоимость денежных потоков проекта равна «0».
Показатель рассчитывается по формуле:
Где:
- CFt – денежные потоки ИП в период времени;
- n – количество периодов времени;
- IRR – внутренняя норма доходности;
- В отличие от ЧПС – IRR рассчитывается только для ИП, когда первоначальный поток является отрицательным (инвестиции).
Модифицированная внутренняя норма рентабельности (MIRR), описывает ставку дисконтирования, при которой суммарная приведенная стоимость доходов от осуществляемых инвестиций будет равняться стоимости этих инвестиций. Применяется при наличии одновременно при реализации ИП отрицательных и положительных денежных потоков.
Рассчитывается по формуле:
Где:
- MIRR – модифицированная внутренняя норма доходности;
- CF – денежные потоки за период;
- WACC – средневзвешенная стоимость активов (капитала);
- r – ставка дисконтирования.
самые свежие новости 1 раз в месяц
Пример расчета денежных потоков
На сегодняшний день 1С предлагает широкую линейку программных продуктов, позволяющих автоматизировать различные виды учета предприятий. Рассмотрим возможности расчета денежных потоков с помощью прикладного решения 1С:ERP.
Гибкая система 1С:ERP для удобного управления денежными потоками инвестиционных проектовДля расчета и оценки денежных потоков инвестпроекта в системе используют подсистему «Бюджетирование и планирование», «РУ и БУ», «Казначейство» и пр. Для анализа денежных потоков компании именно в разрезе проекта используют справочник «Направление деятельности» и сквозную аналитику системы, которая пронизывает все ее подразделы и позволяет собрать финансовый результат проекта.
Для планирования и прогнозирования денежных потоков инвестпроекта в системе используют документ «Экземпляр бюджет» – бюджет БДДС, который можно настроить под нужды пользователя. Основные параметры бюджета настраиваются посредством модели, вида и сценария бюджетирования.
В модели задается периодичность планирования, в сценариях – прогнозные курсы валют.
В видах – аналитические разрезы, границы данных, период планирования и структура бюджета.
Механизм «Структура бюджета» достаточно гибкий, что позволяет настроить вывод практически любых показателей для планирования и анализа. Например, вот так может выглядеть настройка расчета планируемых денежных потоков проекта:
Заказать бесплатную консультацию эксперта по учету инвестиционных проектов в 1С
Тогда экземпляр бюджета будет иметь следующий вид:
Отличительная особенность при настройках бюджетов – добавление в показатели и статьи ДДС аналитики «Направление деятельности». Это позволяет создавать планы под конкретный проект.
Источники получения фактических данных задаются непосредственно в показателях и статьях бюджет. В данном случае это элементы справочника «Статьи ДДС» с отбором по «Направлению деятельности» (проект).
Инструментом проведения план-фактного анализа выступает отчет раздела бюджетирования – «Оборотная ведомость по статьям бюджета», который позволяет оценить исполнение бюджета согласно фактическим данным с отбором по сценарию бюджетирования и направлению деятельности (проекту).
В системе для настройки бюджета по расчету денежных потоков проекта предусмотрены готовые типовые статьи ДДС и показатели (как финансовые, так и нефинансовые), которые позволяют учитывать, например, условия дисконтирования.
Решение класса CPM 1С:Управление холдингом 8 для управления денежными потоками
В целом все типовые отчеты 1С:ERP по анализу денежных потоков инвестпроекта предполагают настройку отбора по виду деятельности, что позволяет анализировать фактические данные по денежным потокам компании в разрезе проекта. Это стандартные бухгалтерские отчет (карточки счета, ОСВ по счету и пр.), а также отчеты подраздела казначейства (Движение ДС).
Таким образом, 1С:ERP предоставляет широкий спектр инструментов для анализа денежных потоков инвестпроекта – планирование и прогнозирование, анализ фактических данных и сопоставление их с плановыми, что позволяет реализовать все задачи расчета.
консультация эксперта
самые свежие новости 1 раз в месяц









