Все пользователи информационных систем 1С так или иначе сталкиваются с вопросами обновления имеющихся программ. В статье мы ответим на частые вопросы о переходе на новую редакцию на примере переноса данных из базы «1С:Управления торговлей» 10.3 в 11-ю версию (при сохранении информации в базе данных за год работы).
Сразу уточним, что перенос абсолютно всей накопленной информации невозможен, т.к. редакции очень разняться по структуре: в них по-разному реализованы ведение учета и документооборот
В УТ 11 последовательности бизнес-процессов не предусматривают многих документов, присутствующих в предыдущей версии. Например, корректировка покупательских заказов в новой редакции происходит иначе, документы партионного и складского учета также отличаются. Следовательно, при переходе на программу 1С:УТ 11 перенос базы из «десятки» целиком реализовать невозможно.
Но многие элементы истории все-таки можно перенести, например – истории продаж за период без первичных документов. Т.е. данные в отчетах будут присутствовать, но старых документов фактически не будет в базе.
Стоит ли осуществлять переход на новую редакцию?
Перед ответом на этот вопрос необходимо провести всесторонний анализ работы предприятия и оценить, насколько важна потребность в новшествах, которые принесет новая редакция.
Фирма 1С постоянно вносит изменения в конфигурацию и дату окончания усовершенствований назвать пока невозможно, поэтому спонтанное обновление системы, без полного понимания сути обновлений, способно навредить бизнесу. Например, в новой редакции сложнее реализован учет, и доработка под нужды заказчика некоторых его нюансов будет затруднена.
В таких условиях нежелательно приобретать текущий релиз для самостоятельного внесения глобальных корректировок и при выборе конфигурации обязательно нужно ставить во главу угла индивидуальные потребности компании-пользователя 1С.
Дарим новым клиентам 1С:УТ ПРОФ установку, типовую настройку и ИТС на 120 дней! Гарантия на услугиПорядок перехода на новую редакцию
Чтобы сделать переход с 1С УТ 11.3 на 11.4 необходимо использовать режим «Обновление конфигураций». Файл обновлений 1Сv8.cfu располагается в каталоге шаблонов (по умолчанию – подкаталог tmplts\ каталога перемещаемых служебных файлов профиля пользователя), в подкаталоге \1С\tradebase\11_4_X_XXXX.
- Установите актуальную технологическую платформу 1С:Предприятие 8.3
- Сохраните архивную копию базы данных. Резервную копию базы данных можно создать путем копирования файла 1СV8.1СD в отдельный каталог.
Здесь первый способ – копирование файла в отдельный каталог…
…а второй – выгрузить информационную базу через конфигуратор (меню «Администрирование» -> «Выгрузить ИБ»).
Выбрать каталог для выгрузки, задать имя (желательно указать в имени дату выгрузки архива) и нажать «Сохранить».
Процесс выгрузки может занять от нескольких минут до часа, следует дождаться окна-оповещения об окончании выгрузки базы.
- Запустите информационную базу данных в режиме «Конфигуратор». Далее нужно открыть саму конфигурацию при помощи меню «Конфигурация», выбрав пункт «Открыть конфигурацию»;
- Запустите опцию «Обновление конфигураций» (меню «Конфигурация» => «Поддержка» => «Обновить конфигурацию»);
- В диалоговом окне «Обновление конфигурации» указать пункт «Доступные обновления», затем выбрать нужное обновление в соответствующем списке;
- Далее выбираем пункт поиска обновлений с помощью Интернет-ресурса или укажем место хранения файла обновления;
- При отсутствии необходимого обновления в списке в диалоге выбора файла обновления указать «Файл обновления» и выбрать нужный файл (по умолчанию 1Сv8.cfu);
- В диалоговом окне обновления нажать кнопку «Готово» для продолжения обновления конфигурации.
После окончания процесса откроется окно «Конфигурация», содержащая внесенные изменения. Следует их сохранить.
В процессе обновления конфигурации изменения в структуре информационной базы данных произойдут автоматически. Процесс обновления конфигурации занимает продолжительное время. Если после обновления при открытии форм настроек из раздела «Администрирования» возникают ошибки вида «Поле объекта не обнаружено», то рекомендуется восстановить резервную копию базы данных и произвести обновление заново с применением файла поставки 1Сv8.cf, который входит в состав полного дистрибутива файла обновления.
Полный дистрибутив хранится на сайте интернет-поддержки пользователей системы «1С:Предприятие», со страницы текущей версии конфигурации «Управление торговлей, редакция 11».
Переход с УТ 11.1 и УТ 11.2 осуществляется по аналогии с приведенными выше шагами.
Переход с УТ 10.3 на версию 11.4
Типовой процесс переноса данных в 1С УТ 11.4 из 10.3 начинается с установочного пакета 11 редакции, где имеются две обработки. Они располагаются по пути C:\..\1С\trade\ «РелизУТ11.4», папка AddFiles. Далее переходим по пути \AddFiles\Переходы с других конфигураций\УТ103. Тут и лежит обработка «Выгрузка данных». Предварительно нужно:
- выполнить резервное копирование ИБ;
- обновить УТ 10 до актуальной редакции;
- удалить помеченные на удаление объекты в УТ 10, чтобы избежать их переноса в УТ 11;
- выполнить регламентные операции: закрыть кассовые смены, оформить Отчет комиссионера о продажах и Отчет комитенту о продажах, закончить оформление межфирменных продаж, завершить проведение по регистрам НДС, провести документы по партиям и восстановить последовательность документов;
- выполнить свертку итогов в базе данных и выполнить выгрузку данных в файл (справочники, остатки). Для этого нужно воспользоваться одноименными обработками.
Перенос данных выполняется через встроенную функцию в УТ 11( меню «НСИ и Администрирование-Начальное заполнение» и меню Обработки «Помощник Перехода С Других Конфигураций», где соответственно нужно выбрать «Переход с УТ 10.3»). Далее следовать инструкции помощника по переносу данных и дождаться процесса завершения загрузки данных.
В каталоге установки конфигурации новой редакции находится готовая Обработка «Помощник по переходу на новую редакцию УТ 11.4», которую необходимо запустить в 1С:Управление торговлей редакции 10.3. Обработка откроет форму Помощника по переходу, в которой нужно следовать инструкциям по переносу данных.
Другого способа, позволяющего обновить редакцию до версии 11.4, не существует. Реально лишь перенести справочники и остатки, загрузив их в новую базу новой редакции.
Внедрим 1С:УТ в самые удаленные локации РФ. 100% услуг дистанционно. Для любых торговых компанийПеренос данных из конфигурации «Управление торговлей», редакция 10.3 возможен, начиная с версии 10.3.32. Для выгрузки данных из конфигурации «Управление торговлей», редакция 10.3 следует использовать внешнюю обработку «Переход с других конфигураций\Выгрузка данных.epf». Загрузка данных в конфигурацию «Управление торговлей», редакция 11.3, встроена в конфигурацию.
Не рекомендуется осуществлять загрузку данных в уже заполненную информационную базу редакции 11.3.
По умолчанию программа предлагает выгрузить информацию о параметрах учета, справочную информацию и остатки. Однако можно выключить выгрузку данной информации, за исключением параметров учета. При переносе НСИ и остатков есть свои особенности, что влияет на корректность данных в новой системе. Поэтому рекомендуем строго следовать инструкции по переходу с УТ 10 на УТ 11 или обратиться к специалисту.
Выставление маркера Сворачивать характеристики номенклатуры влияет на формирование характеристик при загрузке позиций. Если данный флаг снят, для каждой позиции будет создан уникальный набор характеристик. В противном случае программа оценит возможность формирования единого набора показателей и, по возможности, установит унифицированный набор характеристик для типа.
После завершения загрузки необходимо проверить корректность данных. Остатки товаров, денежных средств и взаиморасчетов фиксируются документом «Ввод остатков» (раздел «НСИ и администрирование» -> «Начальное заполнение» -> «Документы ввода начальных остатков»). С помощью отчетов проверьте правильность выгрузки остатков в обеих базах.
При повторной загрузке остатков данные в документах ввода остатков, созданных конвертацией, перезаполняются заново. Применение иных способов выгрузки и загрузки данных желательно, если стандартные способы невозможны в силу специфических обстоятельств.
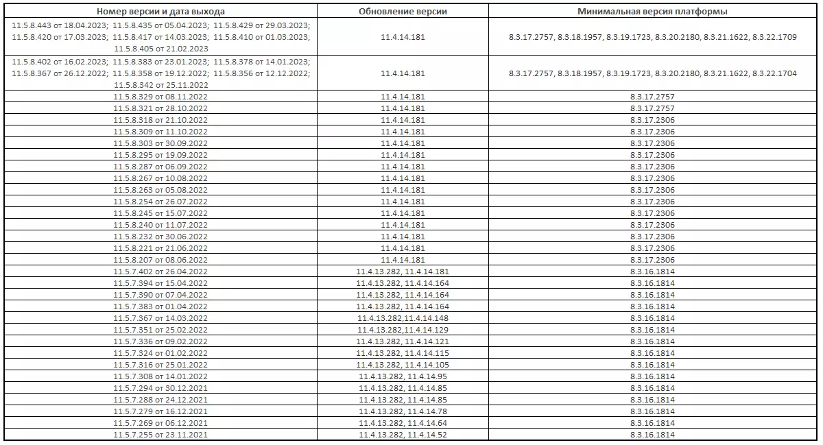
Переход с УТ 11.4 на версию УТ 11.5
Учитывая, что на сегодняшний день актуальным развитием конфигурации «Управление торговлей» является редакция 11.5.12, то предлагаем пользователям подумать о переходе на последнюю версию конфигурации, тем более, что поддержка редакции 11.4 была завершена фирмой 1С с мая 2022г.
Переход с типовой конфигурации 1С:Управление торговлей редакции 11.4 на 11.5 осуществляется в обычном режиме обновления конфигурации с сохранением всех накопленных данных и возможен со следующих редакций УТ11.4 и версий платформы.
Безопасный переход на 1С:УТ 11. Условия гарантии на работы пропишем в договоре!консультация эксперта
самые свежие новости 1 раз в месяц












